
Left and right: Chloe Coplen-Anderson (Sheridan County Jail).
A 17-year-old Nebraskan charged as an adult with murdering her newborn son by cutting his throat, stabbing the baby to death, placing the body inside a dog food bag under clothes inside a bedroom closet and then going to the store is looking at two decades to life behind bars after pleading no contest.
Sheridan County Attorney Jamian Simmons confirmed to Law&Crime that Chloe Coplen-Anderson was found guilty of second-degree murder on Tuesday after entering the no contest plea in court as part of a plea agreement, resolving the case that was initially charged as a premeditated first-degree murder committed in the course of felony child abuse and with the use of a deadly weapon, a knife.
When details of the case against then 16-year-old Chloe Coplen-Anderson first emerged, local ABC affiliate NTV said the Gordon Police Department responded to her home after the teen's parents found a horrific blood-covered scene in their daughter's bedroom on Nov. 6, 2023, when the deceased newborn's remains were found in an "empty plastic dog food bag and a trash bag in the teen's closet covered with clothes" while the defendant was out at a store.
While Coplen-Anderson's father reportedly believed the newborn had been stillborn, her mother shouted to a responding officer that she, Chloe, "hurt him," the baby, and that "you can see the marks."
Authorities reportedly confirmed that the newborn had been stabbed several times and had a cut throat.
The Star-Herald reported that the parents earlier that day noticed that Coplen-Anderson grabbed a knife from a kitchen drawer, and that when the defendant got back from the store and was confronted by her mother she admitted the baby "was dead" and that "she killed it."
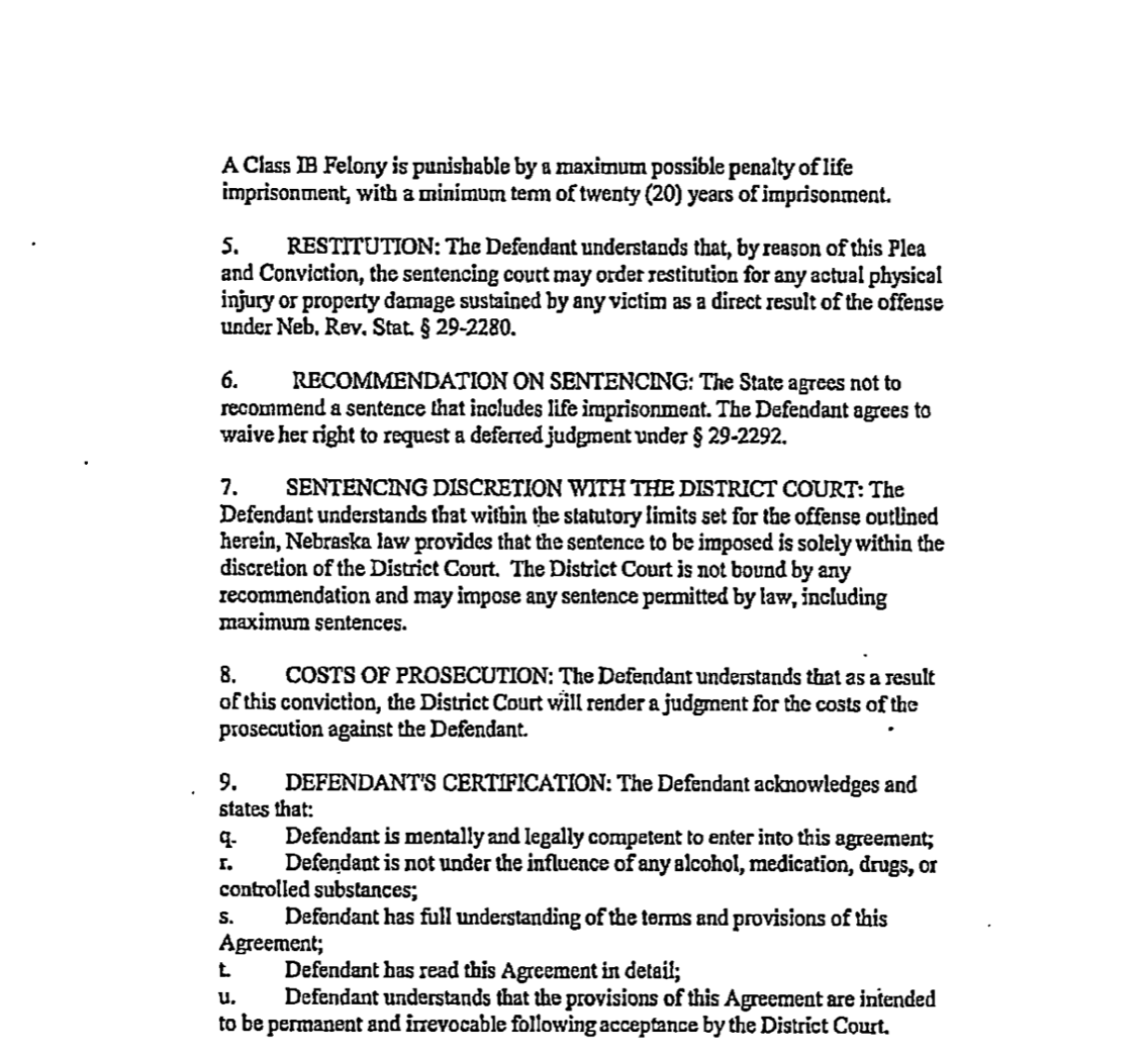
After Coplen-Anderson was arrested, prosecutors moved to charge her as an adult in the case, News Channel Nebraska reported. Now that she has been adjudged guilty as an adult, she faces at least 20 years in state prison and technically as long as life imprisonment, though prosecutors are not seeking the max punishment, as a copy of the plea agreement obtained by Law&Crime shows.

There's a real likelihood, then, that she may not get out of prison until her late thirties.
Under Nebraska law, second-degree murder occurs when one "causes the death of a person intentionally, but without premeditation."

Chloe Coplen-Anderson while in custody (News Channel Nebraska)
Coplen-Anderson is expected to appear in court next on Oct. 15, likely to set a sentencing date, the Star-Herald said.
Law&Crime reached out to a defense attorney for Coplen-Anderson about the development, but she declined to comment at this time.
Comments